티스토리 뷰
문제
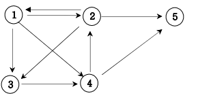
방향 그래프가 주어지면 1번 정점에서 N번 정점으로 가는 모든 경로의 가지 수를 출력하는 프로그램을 작성하세요. 아래 그래프에서 1번 정점에서 5번 정점으로 가는 가지 수는 1 2 3 4 5 1 2 5 1 3 4 2 5 1 3 4 5 1 4 2 5 1 4 5 총 6 가지입니다.

풀이
function solution(n, arr) {
let answer = 0;
let graph = Array.from(Array(n + 1), () => Array());
let ch = Array.from({ length: n + 1 }, () => 0);
let path = [];
for (let [a, b] of arr) {
graph[a].push(b);
}
function DFS(v) {
if (v === n) {
answer++;
console.log(path);
} else {
for (let nv of graph[v]) {
if (ch[nv] === 0) {
ch[nv] = 1;
path.push(nv);
DFS(nv);
ch[nv] = 0;
path.pop();
}
}
}
}
ch[1] = 1;
DFS(1);
return answer;
}
let arr = [
[1, 2],
[1, 3],
[1, 4],
[2, 1],
[2, 3],
[2, 5],
[3, 4],
[4, 2],
[4, 5],
];
console.log(solution(5, arr));
풀이 방법
인접 행렬로 문제를 풀었을 때에는 행렬 배열을 생성할 때 모두 0으로 된 배열을 만들었었는데 이제 노드 개수가 만약 10000개~100000개 일 때에는 시간 복잡도가 크게 높아져서 노드가 많을 때에는 인접 리스트 방식으로 푸는 것이 좋습니다.
인접 리스트란 빈 배열을 전체 arr의 개수 +1 만큼 생성하여 빈 배열 안에 원소를 넣어 문제를 푸는 방식입니다. 노드 개수가 많아도 빠르게 풀 수 있는 더 효율적인 방법이라고 할 수 있습니다.
'알고리즘 > 코딩테스트 공부' 카테고리의 다른 글
| 9-6. 송아지 찾기(BFS : 상태 트리 탐색) (0) | 2022.03.26 |
|---|---|
| 9-4. 미로 탐색(DFS) (0) | 2022.03.25 |
| 9-2. 경로 탐색(DFS-인접 행렬 : 노드 개수가 적을 때) (0) | 2022.03.25 |
| 그래프와 인접행렬 (BFS) 선행 지식 (0) | 2022.03.25 |
| 8-15. 수들의 조합 (DFS) (0) | 2022.03.25 |
댓글
공지사항
최근에 올라온 글
최근에 달린 댓글
- Total
- Today
- Yesterday
링크
TAG
- javascript
- Storybook
- env
- import/order
- TopLayer
- WSL2
- 우아한테크코스
- React
- jest
- 노마드코더
- electron
- 프리온보딩
- 윤성우 열혈C프로그래밍
- 초보
- 아차산
- NextApiRequest
- C언어
- 북클럽
- NextRequest
- 노개북
- nextjs
- 원티드
- createPortal
- 프론트앤드
- nodejs
- 스토리 북
- 위코드
- error
- CLASS
| 일 | 월 | 화 | 수 | 목 | 금 | 토 |
|---|---|---|---|---|---|---|
| 1 | ||||||
| 2 | 3 | 4 | 5 | 6 | 7 | 8 |
| 9 | 10 | 11 | 12 | 13 | 14 | 15 |
| 16 | 17 | 18 | 19 | 20 | 21 | 22 |
| 23 | 24 | 25 | 26 | 27 | 28 | 29 |
| 30 |
글 보관함